控制流程圖
通過前文對高壓蒸汽滅菌器熱回收系統的原 理,關鍵輸入輸出控制節點,控制系統等分析,建立 如圖 2 所示的控制流程圖。 圖中,通過檢測蒸汽換熱前水溫 T1,判斷換熱 循環泵的開啟與關閉。通過檢測蒸汽換熱后水溫 T2 判斷換熱循環泵的高功率與低功率運行。并 實時輸出顯示保溫水箱換熱前后的水溫,以供操作 人員 判 斷 保 溫 水 箱 內 的 溫 度 及 換 熱 后 輸 出 水 溫度。

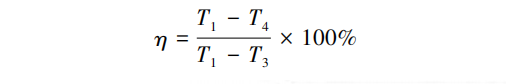
高壓蒸汽滅菌器余熱回收系統熱回收效率測試 與分析 通過上述分析與研究,建立實驗室用高壓蒸汽 滅菌器余熱回收系統,并對其熱回收效率進行測 試。熱回收效率計算公式如下:

其中 T1 為蒸汽換熱前溫度,T3 為保溫水箱 內水換熱前溫 度,T4 為保溫水箱內水換熱后 溫度。 通過對高壓蒸汽滅菌器余熱回收系統 8 h 的 實際工作時間各溫度控制節點的溫度進行測量分析,得到如圖 3 所示的熱回收系統換熱效率 曲線。可以看到,蒸汽排出溫度 T 1初始在 15℃ 左右, 此時循環泵處于關閉狀態。當滅菌器工作時,蒸 汽排出溫度迅速升至接近 100℃,此時熱回收循環 泵受到穩定影響處于開啟狀態,低功率運行,開始換熱工作。此時保溫水箱內水換熱前溫度 T3 為 100℃,保溫水箱內水換熱后水溫 T4 開始逐漸增高, 當蒸汽換熱后 T4 溫度超過 50℃后,熱回收設備的循 環泵運行,換熱后水溫 T4 達到最高值 75℃,之后隨 換熱后水溫逐漸減小。當滅菌器停止工作后,蒸汽 排出溫度降低到 15℃,換熱后水溫也隨之降低。在 有效熱回收過程中,熱回收效率達到 72%以上。
結論
在生物制藥、醫院、生命科學領域對高壓蒸汽 滅菌消毒是常用消毒方式,多篇研究表明,隨著 我國對節能減排需求的提高,對余熱的回收已然成 為發展趨勢。通過對高壓蒸汽滅菌器余熱回收系統的工作原理的介紹,并對系統中的關鍵輸入輸出控 制節點,控制系統及溫度傳感器選擇,控制系統流 程圖等進行了詳細闡述。建立余熱回收系統,并對 余熱回收系統的熱回收效率通過實驗進行測試與 分析。通過余熱回收系統的建立,實現了高壓蒸汽 滅菌器排放無污染,回收了部分熱能量,并加以利 用,降低了設施和設備能耗,達到了節能減排的目的,在生物制藥、醫院、生命科學研究等滅菌消毒領 域,具備較好的應用前景。